Yıllar önce yaptığım network üzerinden röle çekme kontrol kartı hakkında bahsedeceğim ve Röle ana kartını ayrıntıları ile paylaşmaya çalışacağım. Eski versiyonu üzerinden anlatım yapacağım. Elektronik devre kartı tasarlamaya hevesli veya profesyonel olarak bu işi yapan kişilere faydalı olabileceğini düşünüyorum. Bu site üzerinde anlatılanların bir kısmını veya tamamını yapmak tamamen sizin inisiyatifinizdedir.

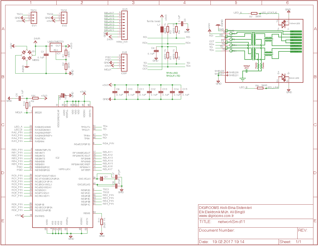
Öncelikle devre kartı hakkında ön bir bilgilendirme yapayım. Bu kart 35×40 mm boyutlarında oldukça küçük bir kart. Microchip 18F67j60 mikro kontrol cipi kullanıldı. Bu cipin içinde gömülü ethernet phy var. Böylece direk İnternet bağlantısı kurulabiliyor. POE rj45 dişi jack sayesinde cat6 kablo üzerinden beslenebiliyor. Kahverengi ve mavi damarlar üzerinden. Bu jack içinde trafo var. Resimdeki rj45 dişi jack POE özelliğe sahip değil. POE özelliğe ve aynı pinouta sahip bulabiliyorsanız huilyn marka hlj-6115anl dişi jack kullanabilirsiniz. Bu jack ne yazık ki Türkiye’de bulunmuyor. Yurt dışından getirtmek gerekli veya daha farklı başka bir dişi jack kullanbilirsiniz.
LM317 SMD kullanıldı, bu sayede 9-39 volt gibi çok geniş ve yüksek voltaj değerlerinde çalışıyor. Bu ana kontrol kartı olarak düşünüldüğü için ayrıca bir genişleme kartı tasarladım. Header pinlerinden genişleme kartına hem enerji hemde röleleri kontrol çıkışlar verildi. Röle genişleme kartında 12V’luk röleler kullanacağı için ve tasarladığımız röle kartımızda da LM317 regülatör olduğu için en az 15V’luk giriş sağlanmalı ki röle kartı içindeki regülatör 12V verebilsin yani 15-39V aralığında bir adaptör kullanılmalı. yüksek voltaj kullanılırsa Cat6 içindeki enerji olarak kullanılacak olan damarlardan daha çok enerji götürülebilir yani daha uzun kablo ile daha az kayıp demek. BS10 köprü diyot kullanıldığı için AC veya DC gerilimle çalışabiliyor. Yüksek gerilim kablodan Cat6 enerji taşıma yapılırken avantajlı lakin regülatörün aşırı ısınmasına da sebep olabilir, optimum seviyeyi bulmak lazım.
18F67j60 cipinin sadece 7 adet Çıkış 2 adet giriş portu kullanıldı. Normalde 39 adet giriş çıkış portu var. Burada giriş portunu açık arttırma sitelerinde çokça ve çok uygun fiyatlarla bulunabilen touch buton modülleri için ayırdım. Fiyatları çok uygun oldukları için ve devreyi küçük yapmak niyetimden dolayı direk devre içine gömmektense bu modülleri kullanmayı tercih ettim.
Yazılım olarak MikroC kullanıldı. Gerçekten çok güzel bir IDE. Bir çok mikro kontrolcü destekliyor ve neredeyse mikro kontrol cipinin bütün özellikleri için hazıra yakın fonksiyonlar oluşturulmuş. Tabi bunun dezavantajı yazılıma tam olarak müdahale edememek. Fonksiyonun izin verdiği ölçüde yazılımınızı geliştirebiliyorsunuz. Tabi ki ihtiyaç olduğunda C’nin engin derinliklerine dalabilirsiniz. Şema ve PCB devre çizimi eagle ile yapıldı. Eagle 7.8 versiyonundan sonra adobeye sattıldı. 7.8 ve önceki versiyonları kullanmanızı öneririm. 100×80 boyutlarına kadar 2 katlı pcb çizimi yapmak için ücretsiz sürümü kullanabiliyorsunuz. Daha büyük bir kart tasarlayacaksanız ücretli.

İnternet muhteşem bir kaynak bu devreyi tasarlarken internetteki referans şemalardan çok faydalandım. Kesinlikle internetteki farklı kaynaklardan da yararlanmanızı öneririm. Şemayı aşağıdaki resimden referans alarak çizim yapabilirsiniz. Burada önce şemadan bahsedelim. touch yani dokunmatik buton için 2 adet header bulunuyor. ICSP için bir header ve çıkışlar için 9 pinli header bunların hepsi klasik 1 inch’lik header.
Enerji için LM317MSST3 kullanıldı. Bu chip lm317 regülatör SMD versiyonu, ufak ve 600mA’e kadar akım sağlayabiliyor (teoride). Bu değer ihtiyacımı fazlasıyla karşıladığından ve kolaylıkla bulunabildiğinden bu çipi tercih ettim. Burada yollar 1.6 oz/ft^2 10mil olacak şekilde tasarlandı. Bu kalınlık 600mA akım taşıyabiliyor. Bu nedenle yolların en az 10mil olması gereklidir. GND, 9V-39V’luk giriş gerilimi ve regüle edilmiş 3.3V’luk gerilimler 16mil olarak çizildi. yüksek gerilim 3.3V’a regüle edilecekse aşırı ısıncaktır. Buna çözüm kartı büyük tasarlamanız ve mümkünse dip lm317 kullanmanız soğutabiliyorsanız başka tabi.
POE jack ile cat5 veya cat6 kablonun kahverengi ve mavi damarlarından kart beslenecek. 39 volta yakın bir gerilim ile beslenirse daha uzun mesafelerde kablo kullanılabilir. Fakat ne kadar yüksek voltaj o kadar ısı, LM317’yi soğutmayı kesinlikle unutmayın. 25Mhz’li kristal kullanıldı, Çünkü ethernet için 25Mhz gerekli. AC gerilimle de kart çalışabilsin diye BS10 köprü diyot kullanıldı. 18F67j60 çipi içinde EEPROM yok. ne yazık ki bu büyük bir eksiklik. Bu cipin yazma silme sayısı da az. Tavsiye niteliğinde yapacağınız projeye göre ayrıca bir 24CXX tarzı I2C eeprom kullanmak uygun olacaktır. Bu baskı devre içinde eeprom yok, siz tasarlamalısınız.
Şimdi biraz da yazılım kısmından bahsedelim. MikroElektronika firmasının MikroC IDE’si ile yazılım yapıldı. Ben benim yaptığım yazılımı vermeyeceğim ama benim referans aldığım ve bu kart ile birkaç ufak değişiklik yaparak direk kullanabileceğiniz mikroC ile yazılmış mikroE’nin örnek yazılımlar sayfasından bir link vereceğim. Link aşağıda. Daha önce de yazdığım gibi bu çok güzel bir IDE, neredeyse bütün özellikler için hazır fonksiyonları var. Tabi bazen ihtiyacı karşılayamıyor. Böyle durumlarda kendi C fonksiyonunuzu yazmanız gerekli. MikroE’nin libstock adında bir sitesi var burada birçok örnek yazılım bulabilirsiniz. Aşağıdaki linkten indireceğiniz örnekte mikro kontrolcü 18F67j60 olarak değiştirilip tekrar derleyin. Örnek şemadaki çıkış portları PORTF giriş portu olarak da PORTE ayarlandı. Yazılımı buna göre değiştirmeyi ve tekrar derlemeyi unutmayın.
Hobi olarak devre yapan, DIY tarzı işlerden hoşlanan kişilere faydalı olacaktır. Kendin yap projelerinize ekleyebileceğiniz deneme ve geliştirme kartı olarak kullanabileceğiniz bir kart
MikroC Ethernet Örneği :
https://libstock.mikroe.com/projects/download/227/408/1335280887_eth_click___exam_mikroc_pic.rar
Şema örnek resmi :
